Материал помещен в архив
НЕКОТОРЫЕ ВОПРОСЫ РЕОРГАНИЗАЦИИ ЮРИДИЧЕСКИХ ЛИЦ
Общая характеристика реорганизации
1. Субъекты процесса реорганизации - юридические лица.
2. Формы: слияние, присоединение, разделение, выделение, преобразование.
3. Субъекты, полномочные принять решение о реорганизации:
- собственник имущества юридического лица (учредители, участники);
- орган юридического лица, уполномоченный на то учредительными документами;
- уполномоченные государственные органы, в том числе суд (в случаях, предусмотренных законодательными актами).
В случаях, установленных законодательными актами, реорганизация может быть осуществлена лишь с согласия уполномоченных государственных органов, в частности это касается соблюдения требований антимонопольного законодательства (ст.33 Закона Республики Беларусь от 12.12.2013 № 94-З «О противодействии монополистической деятельности и развитии конкуренции»).
![]() |
От редакции «Бизнес-Инфо» С 7 июля 2024 г. следует руководствоваться ст.33 Закона № 94-З с изменениями, внесенными Законом от 03.04.2024 № 364-З. |
4. Момент, с которого юридическое лицо считается реорганизованным:
- момент государственной регистрации вновь возникших юридических лиц (при слиянии, разделении, выделении, преобразовании);
- момент внесения в Единый государственный регистр юридических лиц и индивидуальных предпринимателей (далее - ЕГР) записи о прекращении деятельности присоединенного юридического лица (при присоединении).
5. Правопреемство.
Используемые сокращения:
ООО - общество с ограниченной ответственностью;
УП - унитарное предприятие;
ОДО - общество с дополнительной ответственностью;
АО - акционерное общество;
ХТ - хозяйственное товарищество;
ПК - производственный кооператив.
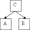
| Форма реорганизации | Слияние | Присоединение | Разделение | Выделение | Преобразование (изменение организационно-правовой формы) |
| Схема | ![]() |
![]() |
![]() |
![]() |
![]() |
| Переход прав и обязанностей | Права и обязанности каждого из юридических лиц (А, Б) переходят к вновь возникшему юридическому лицу (С), юридические лица А и Б ликвидируются | Права и обязанности присоединенного юридического лица (А) переходят к другому юридическому лицу (С), юридическое лицо А ликвидируется | Права и обязанности юридического лица (С) переходят к вновь возникшим юридическим лицам (А, Б), юридическое лицо С ликвидируется | К каждому выделенному юридическому лицу (А, Б) переходят права и обязанности реорганизованного юридического лица (С), юридическое лицо С продолжает существование | К вновь возникшему юридическому лицу (УП «А») переходят права и обязанности реорганизованного юридического лица (ООО «А»), за исключением прав и обязанностей, которые не могут принадлежать возникшему юридическому лицу |
| Основание перехода прав и обязанностей | Передаточный акт | Разделительный баланс | Передаточный акт | ||
6. Требования к передаточному акту и разделительному балансу:
- должны содержать положения о правопреемстве по всем обязательствам реорганизованного юридического лица в отношении всех его кредиторов и должников, включая и обязательства, оспариваемые сторонами;
- утверждаются собственником имущества (учредителями, участниками) юридического лица или органом, принявшими решение о реорганизации юридического лица, если иное не установлено Президентом Республики Беларусь.
Формы передаточного акта и разделительного баланса законодательством не установлены, на практике применяются формы бухгалтерского баланса.
7. Соблюдение прав кредиторов реорганизуемого юридического лица. Собственник имущества (учредители, участники) юридического лица или орган, принявшие решение о реорганизации юридического лица, обязаны письменно уведомить об этом кредиторов.
8. Права кредиторов реорганизуемого юридического лица:
- требовать прекращения или досрочного исполнения обязательства, должником по которому является это юридическое лицо, и возмещения убытков;
- если разделительный баланс не дает возможности определить правопреемника реорганизованного юридического лица, вновь возникшие юридические лица несут солидарную ответственность по обязательствам реорганизованного юридического лица перед его кредиторами.
Приведенные общие нормы Гражданского кодекса Республики Беларусь (далее - ГК) одинаково применимы для регулирования соответствующих отношений с участием любых юридических лиц, поскольку законодатель не устанавливает особенностей для каких-либо организационно-правовых форм, используя категорию «юридическое лицо». В нормах ГК, регулирующих отдельные организационно-правовые формы коммерческих юридических лиц, и в иных законодательных актах установлены специальные нормы о реорганизации.
Так, п.1 ст.65 ГК предусмотрено, что хозяйственные товарищества и общества одной формы или одного вида могут преобразовываться в хозяйственные общества другой формы или другого вида либо в хозяйственные товарищества, производственные кооперативы или унитарные предприятия по решению общего собрания участников в случаях и порядке, установленных законодательными актами, за исключением хозяйственных обществ, состоящих из одного участника, которые могут быть преобразованы в хозяйственные общества другой формы или другого вида либо в унитарные предприятия. Установление в данном случае видов организационно-правовых форм ограничивает варианты, в которые могут быть преобразованы хозяйственные товарищества и общества, тем самым исключая иные. В приведенной норме, к примеру, исключено преобразование хозяйственных товариществ и обществ в крестьянские (фермерские) хозяйства.
![]() |
От редакции «Бизнес-Инфо» С 19 ноября 2024 г. следует руководствоваться п.1 ст.65 ГК в ред. Закона от 13.11.2023 № 312-З. |
Аналогично в п.2 ст.91 ГК для ООО (и исходя из п.3 ст.94 ГК - для ОДО) определены возможные формы коммерческих юридических лиц, в которые они могут быть преобразованы: АО, ОДО (с учетом действия п.3 ст.94 ГК можно предположить, что для ОДО возможно преобразование в ООО), хозяйственное товарищество или производственный кооператив, а также в УП. Соответственно, для АО преобразование возможно в ООО, ОДО, хозяйственное товарищество или производственный кооператив, а также в УП (п.2 ст.104 ГК).
![]() |
От редакции «Бизнес-Инфо» С 28 апреля 2021 г. п.2 ст.104 ГК изложен в новой редакции Законом № 95-З. |
Для производственного кооператива преобразование допускается в хозяйственное товарищество или общество в случае, когда в составе кооператива осталось менее трех членов, а также в УП в случае, когда в составе кооператива остался один член (п.2 ст.112 ГК).
Для УП реорганизация возможна лишь в нескольких случаях в силу того, что его имущество неделимо и долевая собственность на его имущество не допускается:
1) в случае раздела имущества, находящегося в совместной собственности супругов;
2) в случае перехода права собственности на имущество УП в порядке наследования, правопреемства либо иными не противоречащими законодательству способами к двум и более лицам.
При этом формами реорганизации в указанных случаях могут быть разделение (выделение) либо преобразование в хозяйственное товарищество или общество, а также в производственный кооператив в порядке, установленном законодательством и соглашением сторон (п.9 ст.113 ГК). Кроме того, УП может быть присоединено к другому УП, если у обоих предприятий один и тот же собственник имущества (учредитель).
![]() |
Справочно Алгоритм действий при реорганизации частного унитарного предприятия в форме присоединения к частному унитарному предприятию см. здесь. |
Ни в ГК, ни в Законе Республики Беларусь от 18.02.1991 № 611-XII «О крестьянском (фермерском) хозяйстве»
Смешанная реорганизация
Следует обратить внимание на дискуссионный вопрос о смешанной реорганизации. Реорганизацию называют смешанной, если имеет место одна из двух ситуаций: сочетание нескольких форм реорганизации или участие в реорганизации (кроме преобразования) юридических лиц различных организационно-правовых форм.
В законодательстве, в частности в Законе Республики Беларусь от 09.12.1992 № 2020-XII «О хозяйственных обществах»
Данный вывод подтверждается и нормой части третьей ст.15 Закона № 2020-XII, в соответствии с которой хозяйственное общество считается реорганизованным, за исключением случаев реорганизации в форме присоединения, с момента государственной регистрации вновь возникших хозяйственных обществ или юридических лиц иных организационно-правовых форм в порядке, определяемом законодательными актами. В результате реорганизации могут быть созданы как хозяйственные общества, так и юридические лица иных организационно-правовых форм.
При реорганизации хозяйственного общества в форме присоединения к нему другого юридического лица первое из них считается реорганизованным с момента внесения в ЕГР записи о прекращении деятельности присоединенного юридического лица (часть четвертая ст.15 Закона № 2020-XII). При этом вопрос о дальнейшей юридической судьбе присоединенного юридического лица не имеет смысла, поскольку присоединенное юридическое лицо как субъект права не существует ввиду его исключения из ЕГР. Тем не менее на практике может иметь место обособление присоединенного юридического лица, выражающееся в создании на основе последнего филиала с последующим утверждением положения о нем.
Специальные правила для различных форм реорганизации
В Законе № 2020-XII закреплены специальные правила для форм реорганизации юридических лиц с учетом приведенных в ст.15 данного Закона общих правил. Примечателен тот факт, что законодатель предпринял попытку привести определения понятий всех форм реорганизации. В ГК такого нет.
| Форма реорганизации | Определение | Основание | Правопреемство |
| Слияние хозяйственных обществ, хозяйственных обществ и юридических лиц иных организационно-правовых форм | Создание нового хозяйственного общества или юридического лица иной организационно-правовой формы путем передачи создаваемому в результате слияния новому юридическому лицу всех прав и обязанностей участвующих в слиянии хозяйственных обществ, хозяйственных обществ и юридических лиц иных организационно-правовых форм с прекращением их деятельности | Договор о слиянии, в котором определены порядок и условия слияния; заключается хозяйственными обществами и юридическими лицами иных организационно-правовых форм, участвующими в слиянии, утверждается общим собранием участников каждого из участвующих в слиянии хозяйственных обществ и учредителями (участниками) каждого из участвующих в слиянии юридических лиц иных организационно-правовых форм или органами управления таких юридических лиц, уполномоченными на то учредительными документами; утверждение учредительных документов возникающего хозяйственного общества или юридического лица иной организационно-правовой формы и образование его органов производится совместным общим собранием участников хозяйственных обществ и учредителей (участников) юридических лиц иных организационно-правовых форм или органами управления таких юридических лиц, уполномоченными на то учредительными документами, участвующих в слиянии |
Права и обязанности каждого из них переходят в соответствии с передаточным актом к вновь возникшему хозяйственному обществу или возникшему юридическому лицу иной организационно-правовой формы |
| Присоединение к хозяйственному обществу | Прекращение деятельности одного или нескольких присоединяемых хозяйственных обществ и (или) одного или нескольких юридических лиц иных организационно-правовых форм с передачей прав и обязанностей последних хозяйственному обществу, к которому осуществляется присоединение | Договор о присоединении, в котором определены порядок и условия присоединения; заключается присоединяемыми хозяйственным обществом и (или) юридическим лицом иной организационно-правовой формы и хозяйственным обществом, к которому осуществляется присоединение; утверждение договора о присоединении производится общим собранием участников каждого из участвующих в присоединении хозяйственных обществ и (или) учредителей (участников) каждого из участвующих в присоединении юридических лиц иных организационно-правовых форм или органов управления таких юридических лиц, уполномоченных на то учредительными документами; решение о внесении изменений и дополнений в устав хозяйственного общества, к которому осуществляется присоединение, принимается совместным общим собранием участников хозяйственных обществ и (или) учредителей (участников) юридических лиц иных организационно-правовых форм или органами управления таких юридических лиц, уполномоченными на то учредительными документами, участвующих в присоединении |
Права и обязанности последних переходят в соответствии с передаточным актом к хозяйственному обществу, к которому осуществляется присоединение |
| Разделение хозяйственного общества | Прекращение его деятельности с передачей прав и обязанностей вновь возникшим хозяйственным обществам и (или) юридическим лицам иных организационно-правовых форм | Решение о порядке и условиях его разделения, о создании новых хозяйственных обществ и (или) юридических лиц иных организационно-правовых форм, составе их участников принимается общим собранием участников хозяйственного общества; утверждение учредительных документов и образование органов вновь возникающих в результате разделения юридических лиц иных организационно-правовых форм производится общим собранием участников каждого из вновь возникающих в результате разделения хозяйственных обществ и (или) их учредителями (участниками) |
Права и обязанности переходят в соответствии с разделительным балансом к вновь возникшим хозяйственным обществам и (или) юридическим лицам иных организационно-правовых форм |
| Выделение из хозяйственного общества | Создание одного или нескольких новых хозяйственных обществ и (или) юридических лиц иных организационно-правовых форм с передачей им части прав и обязанностей реорганизованного хозяйственного общества без прекращения его деятельности | Решение о порядке и условиях выделения, о создании нового хозяйственного общества (хозяйственных обществ) и (или) юридического лица иной организационно-правовой формы (юридических лиц иных организационно-правовых форм), составе его (их) участников принимает общее собрание участников хозяйственного общества; утверждение учредительных документов и образование органов производится общим собранием участников каждого из вновь возникающих в результате выделения хозяйственных обществ и (или) учредителями (участниками) каждого из вновь возникающих в результате выделения юридических лиц иных организационно-правовых форм |
Права и обязанности реорганизованного хозяйственного общества переходят в соответствии с разделительным балансом к каждому из возникших хозяйственных обществ и (или) юридических лиц иных организационно-правовых форм |
| Преобразование хозяйственного общества | Хозяйственное общество одной формы или одного вида может преобразовываться в хозяйственное общество другой формы или другого вида либо в ХТ или в ПК, а также в УП | Решение о преобразовании, порядке и условиях преобразования принимает общее собрание участников преобразуемого хозяйственного общества; утверждение учредительных документов и образование органов производится общим собранием участников возникающего в результате преобразования хозяйственного общества другой формы или другого вида либо учредителей (участников) возникающего в результате преобразования юридического лица иной организационно-правовой формы |
Права и обязанности переходят в соответствии с передаточным актом к вновь возникшему хозяйственному обществу другой формы или другого вида либо юридическому лицу иной организационно-правовой формы, за исключением прав и обязанностей, которые не могут принадлежать возникшему хозяйственному обществу другой формы или другого вида либо юридическому лицу иной организационно-правовой формы |
Гарантии прав кредиторов при реорганизации
Нормы Закона № 2020-XII регламентируют процедуру уведомления кредиторов при реорганизации хозяйственного общества и в отличие от ГК уточняют некоторые положения.
Так, уведомление лиц, являющихся на дату принятия решения о реорганизации хозяйственного общества его кредиторами, осуществляется не позднее 30 дней с даты принятия решения о реорганизации этого общества, а при реорганизации хозяйственного общества в форме слияния или присоединения - с даты принятия такого решения последним из хозяйственных обществ или юридических лиц иных организационно-правовых форм, участвующих в слиянии или присоединении. Иные лица уведомляются о принятом решении о реорганизации хозяйственного общества при заключении с ними договоров. Таким образом, срок для направления требований кредиторов хозяйственного общества - в течение 30 дней с даты направления ему уведомления о принятом решении о реорганизации хозяйственного общества (часть четвертая ст.23 Закона № 2020-XII), а форма требования кредитора о прекращении или досрочном исполнении обязательства и возмещении убытков - письменная. В ГК лишь установлена обязанность для собственника имущества (учредителей, участников) юридического лица или органа, принявших решение о реорганизации юридического лица, письменно уведомить об этом кредиторов реорганизуемого юридического лица (п.1 ст.56). Следовательно, в отношении иных юридических лиц сроки уведомления кредиторов не установлены. Отсутствует также утвержденная форма такого уведомления.
![]() |
От редакции «Бизнес-Инфо» С 19 ноября 2024 г. следует руководствоваться ст.56 ГК в ред. Закона № 312-З. |
Права кредитора идентичны в ГК и Законе № 2020-XII: кредитор реорганизуемого юридического лица, включая хозяйственное общество, вправе потребовать прекращения или досрочного исполнения обязательства, должником по которому является это юридическое лицо (хозяйственное общество), и возмещения убытков (п.2 ст.56 ГК, часть третья ст.23 Закона № 2020-XII).
Организационные аспекты, которые могут возникнуть при реорганизации
Во-первых, вопрос может возникнуть о порядке и условиях осуществления деятельности на основании специального разрешения (лицензии).
Действие лицензии прекращается в том числе при реорганизации лицензиата - юридического лица, за исключением некоторых случаев (абзац 2 части первой п.84 Положения о лицензировании отдельных видов деятельности, утвержденного Указом Президента Республики Беларусь от 01.09.2010 № 450 (далее - Положение)). В частности, при реорганизации лицензиата - юридического лица в форме преобразования или выделения другого юридического лица созданное юридическое лицо вправе осуществлять деятельность на основании лицензии, выданной реорганизованному юридическому лицу. При этом юридическое лицо, созданное путем преобразования или выделения, обязано внести в лицензию изменения и (или) дополнения (часть первая п.70 Положения).
![]() |
От редакции «Бизнес-Инфо» С 1 января 2023 г. действует Закон от 14.10.2022 № 213-З «О лицензировании». Комментарии см. здесь. |
В случае реорганизации лицензиата - юридического лица в форме слияния или разделения вновь созданное юридическое лицо при намерении осуществлять лицензируемый вид деятельности реорганизованного юридического лица в месячный срок со дня своей государственной регистрации обязано обратиться за выдачей новой лицензии (п.69 Положения).
В случае присоединения лицензиата - юридического лица к другому юридическому лицу, которое имеет лицензию на аналогичный вид деятельности, последнее из них вправе продолжить осуществление соответствующей лицензируемой деятельности на основании ранее выданной лицензии, если указанные в ней сведения не изменились. В случае если данные сведения изменились, реорганизованное юридическое лицо в месячный срок со дня внесения в ЕГР записи об исключении из него присоединенного юридического лица обязано внести в лицензию изменения и (или) дополнения (часть вторая п.70 Положения).
Во-вторых, поскольку реорганизация юридического лица предполагает правопреемство, возможны спорные ситуации о привлечении юридического лица к административной ответственности, например при совершении юридическим лицом административного правонарушения, признанного длящимся, то есть совершение деяния, предусмотренного Кодексом Республики Беларусь об административных правонарушениях (далее - КоАП), сопряженного с последующим длительным невыполнением обязанностей, возложенных на физическое или юридическое лицо актом законодательства под угрозой административного взыскания (ст.2.6 КоАП).
![]() |
От редакции «Бизнес-Инфо» С 1 марта 2021 г. действует новый КоАП от 06.01.2021 № 91-З. Комментарии см. здесь. |
Основываясь на содержании принципов административной ответственности, юридические лица, привлекаемые к административной ответственности, равны перед законом и подлежат административной ответственности независимо от формы собственности, места нахождения, организационно-правовой формы и подчиненности, а также других обстоятельств. При этом каждое юридическое лицо, вина которого по отношению к совершенному административному правонарушению установлена, подлежит привлечению к административной ответственности (части 4, 5 ст.4.2 КоАП).
В нормах КоАП закреплены специальные нормы относительно случаев реорганизации юридических лиц (ст.4.8 КоАП):
1) при слиянии нескольких юридических лиц к административной ответственности за совершение административного правонарушения привлекается вновь возникшее юридическое лицо;
2) при присоединении юридического лица к другому юридическому лицу к административной ответственности за совершение административного правонарушения привлекается присоединившее юридическое лицо;
3) при разделении юридического лица или при выделении из состава юридического лица одного или нескольких юридических лиц к административной ответственности за совершение административного правонарушения привлекается то юридическое лицо, к которому в соответствии с разделительным балансом перешли права и обязанности по заключенным сделкам или имуществу, в связи с которыми было совершено административное правонарушение;
4) при преобразовании юридического лица одного вида в юридическое лицо другого вида к административной ответственности за совершение административного правонарушения привлекается вновь возникшее юридическое лицо.
Наложение административного взыскания на юридическое лицо не освобождает от административной ответственности за данное правонарушение виновное должностное лицо юридического лица, равно как и привлечение к административной или уголовной ответственности должностного лица юридического лица не освобождает от административной ответственности за данное правонарушение юридическое лицо (часть 8 ст.4.8 КоАП).
В-третьих, следует учитывать нормы п.13 Указа Президента Республики Беларусь от 16.10.2009 № 510 «О совершенствовании контрольной (надзорной) деятельности в Республике Беларусь»: в случае если проверяемый субъект, включенный в план выборочных проверок, реорганизован до начала выборочной проверки, контролирующий (надзорный) орган, запланировавший проверку, либо иной контролирующий (надзорный) орган, входящий в состав (систему) соответствующего государственного органа, ответственного за формирование сводных планов проверок, не позднее месяца, следующего за месяцем начала проверки, указанным в плане, вправе назначить и провести выборочную проверку в отношении юридического лица - правопреемника без внесения изменений в план выборочных проверок.
01.11.2018
Ольга Бакиновская, кандидат юридических наук, доцент
Юлия Амельченя, кандидат юридических наук, доцент
Рубрики
Инструменты поиска
Сообщество
Избранное
Мой профиль






